爱赞美
音乐人
专辑
歌曲
MV
歌词
歌谱
歌单
圣经诗歌地图
搜索历史
清空
会员中心
账户设置
我的歌单
我的收藏
我的歌本
我的歌谱
退出登录
登录
注册
发现
乐库
歌单
歌谱
客户端
歌谱
诗歌本
爱赞美
歌谱
诗歌本
迦南诗歌
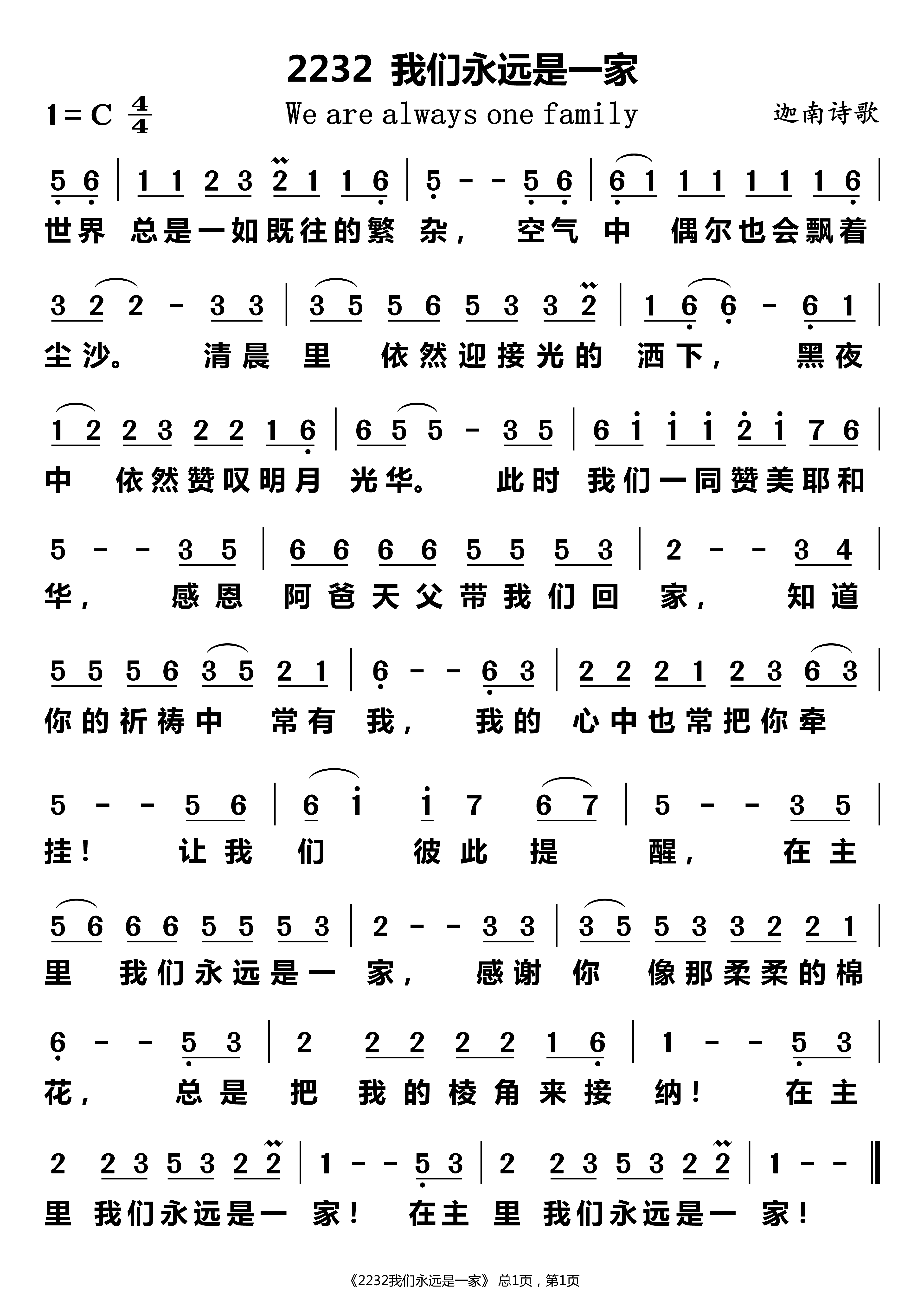
第2232首 - 我们永远是一家
第2232首 -我们永远是一家
音乐人:
迦南诗歌
歌本:
《迦南诗歌》
全屏观看
收藏该谱
加入歌本
手机看谱
歌谱类型:
简谱
歌词
适用乐器:
钢琴
歌谱调号:
C
拍子记号:
4/4
使用技巧:
1,该谱为图片格式歌谱,您可以在歌谱图片上点击右键选择“图片另存为”将歌谱保存至本地电脑。
手机访问
反馈